主成分分析 R语言
R语言学习笔记 主成分分析 Pca 数据小雄 专注于数据分析 挖掘 可视化案例分享
R语言实战 主成分分析理论推导与r语言实现 码农家园
Level2 R 语言第六章数据降维 主成分分析和因子分析5 7 Youtube
Nnxs Hmoywmlgm
读书笔记 R语言实战 十四 主成分和因子分析
R语言主成分分析 Pca Jin Liang 博客园
前言 探索性因子分析(Exploratory Factor Analysis,EFA) 是一项用于找出多元观测变量的本质结构、并进行数据降维处理的多元统计分析方法。 之前我们已经学过主成分分析(PCA),同样是数据降维,PCA与EFA的区别在于: PCA中的主成分是原始变量的线性组合,且各个主成分之间互不相关,这使得主成分.
主成分分析 r语言. R语言高维数据的主成分pca、 tSNE算法降维与可视化分析 3主成分分析(PCA)基本原理及分析实例 4基于R语言实现LASSO回归分析 5使用LASSO回归预测股票收益数据分析 6r语言中对lasso回归,ridge岭回归和elasticnet模型 7r语言中的偏最小二乘回归plsda数据分析 8r. Principal Components AnalysisCall principal(r = USJudgeRatings, 1, nfactors = 1)Standardized loa R语言学习笔记(十二):主成分分析和因子分析 GhostBear 博客园 首页. 而将这些数据导入到R语言,就能得到一组表达量矩阵。对于这组数据,至少可以绘制如下图形 箱线图(boxplot) 小提琴图(vioplot) 柱状图(histogram) 密度图(density) 配对图(gpairs) 聚类图(cluster) 主成分分析(PCA) 热图(heatmap) 火山图(volcano plot).
知识准备: 主成分分析中的方差贡献率 是 维随机向量, 是 个主成分,其中 主成分 的贡献率: ,表示某个主成分 解释原始变量 的能力。 第一主成分 的贡献率最大,表明它解释原是变量 的能力最强。 因子分析中的方差贡献率 是 维随机变量, 为公共因子, 为特殊因子,其中. 主成分分析(Principal Component Analysis,PCA), 是一种统计方法。通过正交变换将一组可能存在相关性的变量转换为一组线性不相关的变量,转换后的这组变量叫主成分。在实际课题中,为了全面分析问题,往往提出很多与此有关的变量(或因素),因为每个变量都在不同程度上反映这个课题的某些. 游戏中心 r语言入门回归分析 手把手教你操作 r语言入门手把手教你做生信分析,1个月发2篇sci不是梦.
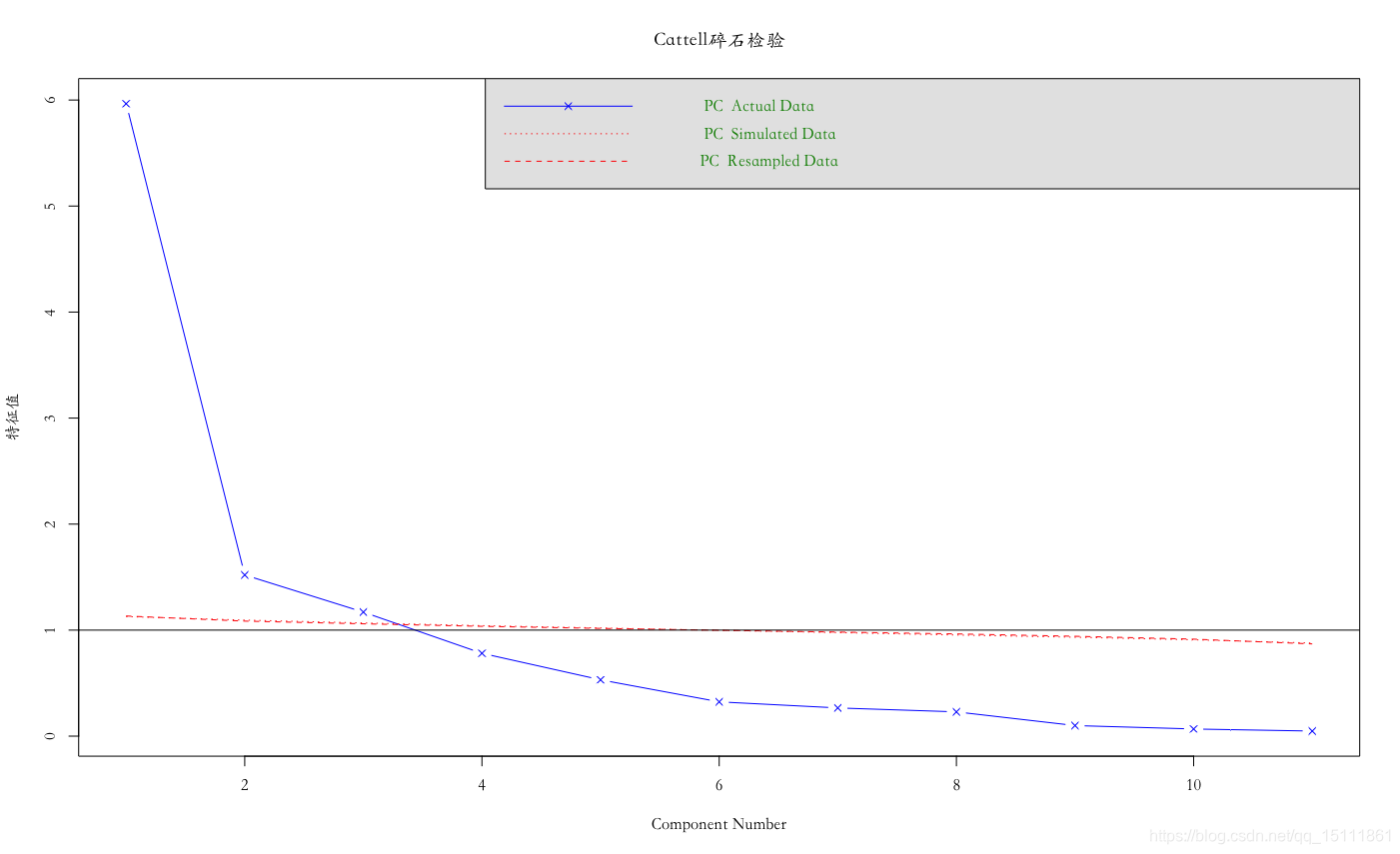
R语言实战笔记–第十四章 主成分和因子分析标签(空格分隔): r语言 主成分分析 因子分析原理及区别 主成分分析与因子分析很接近,其目的均是为了降维,以更简洁的数据去解释结果,但这两种方法其实是相差甚远,有幸找到一篇博文描述了这两者的不同. 试进行本样本的主成分分析。 psych包中的faparallel()函数可以判断主成分的个数,其使用格式为: faparallel(x, fa = , niter =) 其中,x为待研究的数据集或相关系数矩阵,fa为主成分分析(fa= "pc")或者因子分析(fa = "fa"),niter指定随机数据模拟的平行分析的次数。. 分析软件:r 语言pcoa 分析和作pcoa 图。 注:pc1 和pc2 是两个主坐标成分,pc1 表示尽可能最大解释数据变化的主坐标成分,pc2 为解释余下的变化度中占比例最大的主坐标成分,pc3 等依次类推。.
数据科学中的r和python R语言多元分析系列之四 判别分析
主成份分析 Pca 在生物芯片样本筛选中的应用及在r语言中的实现 Public Library Of Bioinformatics
Calameo 原创 主成分分析 Pca 原理及r语言实现及分析实例数据分析报告论文 代码 数据
R语言 主成分分析与因子分析 嘴强黑铁
应用统计学与r语言实现学习笔记 十二 主成分分析 Giserdaishaoqing S Blog
R语言主成分分析及绘图 不涉及因子旋转
数据科学中的r和python R语言多元分析系列之一 主成分分析
利用r语言做主成分分析 Pca 自学笔记 Python量化投资
R语言主成分分析画图 第1页 图说健康
R语言实战 第四部分第十四章 主成分分析和因子分析学习笔记 知乎
主成分分析 案例 天善智能 专注于商业智能bi和数据分析 大数据领域的垂直社区平台
R语言与数据分析 主成分分析 一起大数据 技术文章心得
主成分分析 Pca 原理及r语言实现
R语言与概率统计 六 主成分分析因子分析 Debugger Wiki Debugger Wiki
主成分分析 维基百科 自由的百科全书
R语言之ggbiplot Pca作图 样品pca散点 分组椭圆 主成分丰度 R语言 水手网 247 Com
主成分分析 Pca 原理及r语言实现及分析实例 大数据部落 Csdn博客
主成分分析 R语言实现 简书
Pca主成分分析实战和可视化 附r代码和测试数据 简书
多元统计分析r语言建模 8 主成分分析及r使用 酱肉包gis Oschina
R语言pca分析 生信笔记
基于r语言的主成分分析理论与实例详解 柯广的个人空间 Oschina
R语言pca 主成分分析 Jeepxie Net
手把手教你使用r语言的主成分分析对城管事件数据分析 数据分析
聊聊主成分分析 每日头条
R语言主成分分析 Import Torch As Tf Csdn博客 R语言princomp
R做的主成分分析散点图 Biplot 如何解释 R语言论坛 经管之家 原人大经济论坛
手把手的教你使用r语言的主成分分析对城管事件数据分析 天善智能 专注于商业智能bi和数据分析 大数据领域的垂直社区平台
应用统计学与r语言实现学习笔记 十二 主成分分析 Giserdaishaoqing S Blog
R语言与概率统计 六 主成分分析因子分析 蔡军帅 博客园
Calameo 原创 主成分分析 Pca 原理及r语言实现及分析实例数据分析报告论文 代码数据
R语言绘图 主成分分析 Pca 及其在生态数据分析中的应用 统计与绘图 实用技巧 医学行星资源
多元统计分析之主成分分析principal Component Analysis Pca 的r语言 实现及绘图 可视化 哔哩哔哩 つロ干杯 Bilibili
主成分分析 Pca 原理及r语言代写实现及分析实例 Lico9e 博客园
Ggbiplot 最好看的pca作图 样品pca散点 分组椭圆 变量贡献和相关 生信人 生物信息学 问答平台
主成份分析 Pca 在生物芯片样本筛选中的应用及在r语言中的实现 Public Library Of Bioinformatics
主成分分析在r语言里面的实现 Pca学习笔记 简书
科学网 主成分分析之r篇 林元震的博文
R语言高维数据的pca T Sne算法降维与可视化分析案例报告 拓端数据科技 Welcome To Tecdat
R语言 主成分分析 安科网
R 语言之数据分析高级方法 主成分分析 和 因子分析 天善智能 专注于商业智能bi和数据分析 大数据领域的垂直社区平台
主成分分析 R语言实现 简书
基于r语言的主成分分析理论与实例详解 柯广的个人空间 Oschina
R 语言之数据分析高级方法 主成分分析 和 因子分析 知乎
从0开始入门r语言 主成分分析pca 知乎
数据挖掘系列篇之r语言vs主成分分析的案例
主成分分析在r语言里面的实现 Pca学习笔记 简书
统计分析与r语言 17 主成分分析 哔哩哔哩 つロ干杯 Bilibili
R语言法国足球联赛球员因子分析 主成分分析 Fa Pca 拓端tecdat 商业新知
R语言实战 第四部分第十四章 主成分分析和因子分析学习笔记 知乎
高维数据 R语言绘图基础之主成分分析 黑妹的小屋的个人空间 Oschina
R语言实现主成分分析 Du Group Lambda在线
Spss完不成主成分分析 那就换r语言实现全过程吧 数据小兵博客
Level2 R 语言第六章数据降维 主成分分析和因子分析1 4 Youtube
R语言 主成分分析 月上贺兰 博客园
R语言实战 主成分分析理论推导与r语言实现 码农家园
R语言主成分和因子分析篇 Never 新浪博客
R语言 R语言pca分析教程principal Component Methods In R You And Me Csdn博客
R语言 漫画 数据pca主成分分析报告 猪逻辑公园 Csdn博客
读书笔记 R语言实战 十四 主成分和因子分析
Ppv课数据科学社区 V课堂 R语言十八讲 十七 主成分分析 Ppv课数据科学社区
R语言与主成分分析 李昕垚 Xinyao Li
应用统计学与r语言实现学习笔记 十二 主成分分析 Giserdaishaoqing S Blog
R语言主成分分析 Mountain S Blog 博客园
R语言高维数据的pca T Sne算法降维与可视化分析案例报告 拓端数据科技 Welcome To Tecdat
R语言 主成分分析与因子分析 嘴强黑铁
R语言与主成分分析 李昕垚 Xinyao Li
主成分分析基于r 程序员大本营
R语言与数据分析 主成分分析 一起大数据 技术文章心得
R语言 主成分分析与因子分析 嘴强黑铁
主成分分析r语言 R语言主成分分析图 R语言主成分分析案例 R语言主成分分析代码
R语言实战笔记 第十四章主成分和因子分析 Jeepxie Net
科学网 主成分分析之r篇 林元震的博文
R语言pca分析 生信笔记
Ppv课数据科学社区数据咖课堂 R语言十八讲 十八 R实现主成分分析 Ppv课数据科学社区
R语言进阶之主成分分析 生信与临床 Lambda在线
R语言主成分分析画图 第1页 图说健康
R 语言主成分分析 Pca 实战教程 Bioit爱好者 Oschina
R语言之主成分分析和因子分析 尚码园
案例 R语言实现主成分和因子分析
第4 章主成分分析 R语言基础及光谱建模应用
R语言主成分分析 Pca 加置信椭圆 简书
R语言学习笔记 十二 主成分分析和因子分析 Ghostbear 博客园
非常简单而又非常完整的r语言主成分分析实例 Wangyajie 11的博客 Csdn博客 R语言主成分分析例题详解
R语言pca分析 生信笔记
R语言学习记录 主成分分析的r实现 Woooooood的博客 Csdn博客 R主成分分析
在r语言中进行pca 主成分分析 哔哩哔哩 つロ干杯 Bilibili
R语言法国足球联赛球员因子分析 主成分分析 Fa Pca Segmentfault 思否
在r语言中进行pca 主成分分析 哔哩哔哩 つロ干杯 Bilibili
R语言与数据分析 主成分分析 一起大数据 技术文章心得
非常简单而又非常完整的r语言主成分分析实例 Wangyajie 11的博客 Csdn博客 R语言主成分分析例题详解
手把手的機器學習新手教學與r語言實作 主成份分析 Pca Principle Component Analysis By Shan Jyun Wu Medium
Spss完不成主成分分析 那就换r语言实现全过程吧 数据小兵博客
Principal Components Analysis Pca 主成份分析 R 統計


